轉動慣量是表征剛體轉動慣性大小的物理量,它與剛體的質量、質量相對于轉軸的分布有關,直流電機轉動慣量測定方法包括自減速法、扭擺法和輔助擺錘法三種方法。
首先測定電機在額定轉速時的空載鐵耗和機械損耗。在額定勵磁電流和高于額定轉速nN下,作空載運行(串勵電機在他勵情況下),待電機運行平穩(wěn)后迅速地切斷電樞電源,由其慣性自然減速,測定被試電機減速曲線a(如下圖1:電機減速α曲線),在1.1~0.9倍額定轉速范圍內進行計算。

圖1示:電機減速α曲線
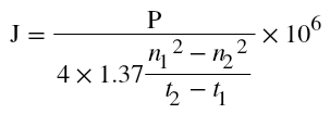
轉動慣量J按式下式計算:

式中:
J——轉動慣量,kg*㎡;
P——在額定轉速時,機械損耗和空載鐵耗之和,KW;
n1——時間t1時的轉速,r/min;
n2——時間t2時的轉速,r/min。
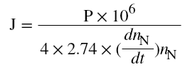
另外,在減速曲線α(圖1)上,由轉速nN點引起切線b,求出nN處的速度變化率dnN/dt(r/min/s)。
轉動慣量J按下式計算:

扭擺法是一種將被試轉子的轉動慣量與圓柱形標準轉子的轉動慣量進行比較的方法。
首先選擇密度均勻的金屬物體加工成圓柱形的標準轉子,再按被測轉子的重量選擇適當直徑和一定長度的鋼絲,此鋼絲應能承受被測物之重量和被拉直而保持不變形。然后將標準轉子懸掛在鋼絲上,必須保證鋼絲軸線與標準轉子軸線同心且垂直地面,懸掛長度可取0.5m及以上。待標準轉子靜止后,把標準轉子繞心軸扭轉一個適當角度(可用30°左右)仔細地測取若干往復擺動次數和時間,而求得擺動周期平均值。
試驗前,被試轉子應校平衡。被試轉子與標準轉子懸掛長度應相同,應使用同一根吊線,同一套懸吊裝置,同一只秒表,按照上述試驗要求求得擺動周期平均值。
被試轉子轉動慣量按下式計算:
式中:

JH——標準轉子轉動慣量,kg*㎡;
T——被試轉子擺動周期平均值,s;
TH——標準轉子擺動周期平均值,s。
標準轉子轉動慣量按下式計算:

式中:
DH——標準轉子圓柱體直徑,m;
m——標準轉子圓柱體的質量,kg;
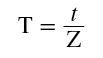
仔細準確地測取并記錄轉子再相當長的時間t之內所完成的擺動次數Z,按下式求得擺動周期平均值T(s):(轉子扭轉擺動的計算起點與終點,應在往復擺動的中心位置)

輔助擺錘法一般用于測定具有滾動軸承電機的轉動慣量,試驗必須在電刷全部提起時進行。
將一個質量已知的輔助擺錘用質量盡可能小的臂桿固定于被試電機轉軸端面中心上,擺錘臂桿應與軸線成直角。當轉子轉軸上帶有皮帶輪或半個聯軸器時,也可用它們來固定擺錘。
試驗時,擺錘的初始位置與靜止位置偏移不大于15°,然后開始擺動,并在其后測量2~3次擺動所需的時間,求出擺動周期的平均值,以擺錘通過靜止位置的瞬間作為測量擺動周期的起始點。
轉動慣量J(kg*㎡)按下式求?。?/p>

式中:
m——輔助擺錘的質量,kg;
r——輔助擺錘的重心到轉軸中心線的距離,m;
T——輔助擺錘擺動周期的平均值,s;
對功率為10~1000kw的電機,選用輔助擺錘時,應使擺動周期為3~8s。同時,為了校核,試驗應在較小或較大的擺錘質量時重復進行。